在线咨询:
负责人:
电话:
QQ号:
重大项目联系手机:
18648111418 (罗先生)
18648111418(宋先生)
邮箱:
传真:one two three four five six
热门标签
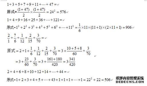
主页 > bet8娱乐官网注册 > 下式中的□,○,△,☆的个数是多少?(1)□
下式中的□,○,△,☆的个数是多少?(1)□
发布日期:2019-10-03 07:07    浏览次数:     作者:365bet手机官网网址    
测试点名称:方程求解方程:使方程左右两侧相等的未知值称为方程解。
找到方程式解的过程称为解方程。
方程的解是一个值,解决方程是计算方程解的过程。
测试方法:计算原始方程式两边的未知值(即包含字母的表达式的值)。如果原始方程的左侧和右侧相等,则未知值是原始方程的解。
解方程:方程取决于方程各部分之间的关??系以及加法,减法,乘法和除法之间的关系:加法+加法=加法和Δε加法=另一个加法,差+减法=减法,减法-减法=差,减法-差=减法,因子x因子=乘积,一个因子的累加=另一个因子,除以除数=商,被除数商=除数,商x除数=被除数
以上内容是Magic Square的学习社区(www。
Mofanju
Com)未经许可不得播放原始内容!